九六参考网www.96flw.com
  • 首页
  • 代数
  • 图像
  • 矩阵
  • 数字
  • 平面几何
  • 立体几何
  • 三角函数
  • 解析几何
  • 日期时间
  • 颜色
  • 进制
  • 物理
  • 电子电路
  • Html
  • 健康
  • 生活

2x2矩阵加法 减法计算器







结果:
A + B =

A - B =


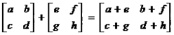
二阶矩阵加法公式

2x2 Matrix Addition Formula

二阶矩阵减法公式

2x2 Matrix Subtraction Formula

推荐
全能计算网
资源星球 VIP音乐在线免费解析 VIP电影在线免费解析

热门工具推荐

e的x次方计算器
五次方根在线计算器
梯形周长在线计算器
成年人BMI自测

热门工具

  • 网站首页
  • 代数计算
  • 图像计算
  • 矩阵计算
  • 数字计算
  • 平面几何
  • 立体几何
  • 三角函数
  • 解析几何
  • 日期时间
  • 颜色计算
  • 进制计算
  • 物理计算
  • 电子电路
  • Html工具
  • 健康计算
  • 八字计算
  • 税费计算

Copyright © 2010-2025 全能计算网 | 站点地图 | 站点目录